Isaac Newton (1643-1727)

Sir Isaac Newton (Woolsthorpe-by-Colsterworth, 4 de janeiro de 1643 — Londres, 31 de março de 1727)[1][nota 1] foi umcientista inglês, mais reconhecido como físico e matemático, embora tenha sido também astrônomo, alquimista, filósofo natural e teólogo.

Sua obra, Philosophiae Naturalis Principia Mathematica, é considerada uma das mais influentes na história da ciência. Publicada em 1687, esta obra descreve a lei da gravitação universal e as três leis de Newton, que fundamentaram a mecânica clássica.

Ao demonstrar a consistência que havia entre o sistema por si idealizado e as leis de Kepler do movimento dos planetas, foi o primeiro a demonstrar que o movimento de objetos, tanto na Terra como em outros corpos celestes, são governados pelo mesmo conjunto de leis naturais. O poder unificador e profético de suas leis era centrado na revolução científica, no avanço do heliocentrismo e na difundida noção de que a investigação racional pode revelar o funcionamento mais intrínseco da natureza.

Em uma pesquisa promovida pela Royal Society, Newton foi considerado o cientista que causou maior impacto na história da ciência.[2] De personalidade sóbria, fechada e solitária, para ele, a função da ciência era descobrir leis universais e enunciá-las de forma precisa e racional.

 

Primeiros anos

clip_image001

Newton (1702), retratado pelo pintor Godfrey Kneller.

Newton nasceu em 4 de janeiro de 1643 em Woolsthorpe Manor, embora seu nascimento tivesse sido registrado como no dia de Natal, 25 de dezembro de 1642, pois àquela época a Grã-Bretanhausava o calendário juliano. Seu nascimento foi prematuro, não tendo conhecido seu pai, um próspero fazendeiro que também se chamava Isaac Newton e morreu três meses antes de seu nascimento. Sua mãe, Hannah Ayscough Newton, passou a administrar a propriedade rural da família. A situação financeira era estável, e a fazenda garantia um bom rendimento. Com apenas três anos, Newton foi levado para a casa de sua avó materna, Margery Ayscough, onde foi criado, já que sua mãe havia se casado novamente (um pastor chamado Barnabas Smith). O jovem Isaac não havia gostado de seu padrasto e brigou com sua mãe por se casar com ele, como revelado por este registro em uma lista de pecados cometidos até os 19 anos de idade: "Ameaçar meu pai Smith e minha mãe de queimar sua casa com eles dentro."[3] Tudo leva a crer que o jovem Isaac Newton teve uma infância muito triste e solitária, pois laços afetivos entre ele e seus parentes não são encontrados como algo verdadeiro.

Um ser de personalidade fechada, introspectiva e de temperamento difícil: assim era Newton, que, embora vivesse em uma época em que a tradição dizia que os homens cuidariam dos negócios de toda a família, nunca demonstrou habilidade ou interesse para esses tipos de trabalho. Por outro lado, pensa-se que ele passava horas e horas sozinho, observando as coisas e construindo objetos. Parece que o único romance de que se tem notícia na vida de Newton tenha ocorrido com a senhorita de nome Anne Storer (filha adotiva do farmacêutico e hoteleiro William Clarke), embora isso não seja comprovado.[4]

Os primeiros passos na escola

A partir da idade de aproximadamente doze até que os dezessete anos, Newton foi educado na The King's School, em Grantham (onde a sua assinatura ainda pode ser vista em cima de um parapeito da janela da biblioteca). Ele foi retirado da escola em outubro de 1659 para viver em Woolsthorpe-by-Colsterworth, onde sua mãe, viúva, agora por uma segunda vez, tentou fazer dele um agricultor; mas ele odiava a agricultura.[5] Henry Stokes, mestre da The King's School, convenceu sua mãe a mandá-lo de volta à escola para que pudesse completar sua educação.

Especula-se que Newton estudou latim, grego e a Bíblia. Alguns autores destacam a ideia de que era um aluno mediano, até que uma cena de sua vida mudou isso: uma briga com um colega de escola fez com que Newton decidisse ser o melhor aluno de classe e de todo o prédio escolar.[6]

 

Universidade e resumo das suas realizações

clip_image002Newton estudou no Trinity College de Cambridge, e graduou-se em 1665. Um dos principais precursores do Iluminismo, seu trabalho científico sofreu forte influência de seu professor e orientador Barrow (desde 1663), e de Schooten, Viète, John Wallis, Descartes, dos trabalhos de Fermat sobre retas tangentes a curvas; de Cavalieri, das concepções de Galileu Galilei e Johannes Kepler.

Em 1663, formulou o teorema hoje conhecido como Binômio de Newton. Fez suas primeiras hipóteses sobre gravitação universal e escreveu sobreséries infinitas e o que chamou de teoria das fluxões (1665), o embrião do Cálculo Diferencial e Integral.

Por causa da peste negra, o Trinity College foi fechado em 1666 e o cientista foi para casa de sua mãe em Woolsthorpe. Foi neste ano de retiro que construiu quatro de suas principais descobertas: o Teorema Binomial, o cálculo, a lei da gravitação universal e a natureza das cores. Construiu o primeiro telescópio de reflexão em 1668, e foi quem primeiro observou o espectro visível que se pode obter pela decomposição da luz solar ao incidir sobre uma das faces de um prisma triangular transparente (ou outro meio de refração ou de difração), atravessando-o e projetando-se sobre um meio ou um anteparo branco, fenômeno este conhecido como dispersão. Optou, então, pela teoria corpuscular de propagação da luz, enunciando-a em (1675) e contrariando a teoria ondulatória de Huygens.

Tornou-se professor de matemática em Cambridge (1669) e entrou para a Royal Society (1672). Sua principal obra foi a publicação Philosophiae Naturalis Principia Mathematica (Princípios matemáticos da filosofia natural - 1687), em três volumes, na qual enunciou a lei da gravitação universal (Vol. 3), generalizando e ampliando as constatações de Kepler, e resumiu suas descobertas, principalmente o cálculo. Essa obra tratou essencialmente sobre física, astronomia e mecânica (leis dos movimentos, movimentos de corpos em meios resistentes, vibrações isotérmicas, velocidade do som, densidade do ar, queda dos corpos na atmosfera, pressão atmosférica, etc).

De 1687 a 1690, foi membro do parlamento britânico, em representação da Universidade de Cambridge. Em 1696 foi nomeado Warden of the Mint e em 1701 Master of the Mint, dois cargos burocráticos da Casa da Moeda britânica. Foi eleito sócio estrangeiro da Académie des Sciences em 1699 e tornou-se presidente da Royal Society em 1703. Publicou, em Cambridge, Arithmetica universalis (1707), uma espécie de livro-texto sobre identidades matemáticas, análise e geometria, possivelmente escrito muitos anos antes (talvez em 1673).

 

Contribuições

Óptica

clip_image003

Réplica do telescópio newtoniano.

Entre 1670 e 1672, Newton trabalhou intensamente em problemas relacionados com a óptica e a natureza da luz. Ele demonstrou, de forma clara e precisa, que a luz branca é formada por uma banda de cores (vermelho, laranja, amarelo, verde, azul, anil e violeta) que podiam separar-se por meio de um prisma.

Como resultado de muito estudo, concluiu que qualquer telescópio "refrator" sofreria de uma aberração hoje denominada "aberração cromática", que consiste na dispersão da luz em diferentes cores ao atravessar uma lente. Para evitar esse problema, Newton construiu um "telescópio refletor" (conhecido como telescópio newtoniano). Isaac Newton acreditava que existiam outros tipos de forças entre partículas, conforme diz na obra Principia. Essas partículas, capazes de agir à distância, agiam de maneira análoga à força gravitacional entre os corpos celestes.[7] Em 1704, Isaac Newton escreveu a sua obra mais importante sobre a óptica, chamada Opticks, na qual expõe suas teorias anteriores e a natureza corpuscular da luz, assim como um estudo detalhado sobre fenômenos como refração, reflexão e dispersão da luz.

Lei da gravitação universal

O momento culminante da Revolução científica foi o descobrimento realizado por Isaac Newton da lei da gravitação universal.

— Bernard Cohen

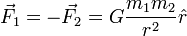
Com uma lei formulada de maneira simples, Newton procurou explicar os fenômenos físicos mais importantes do universo. A lei da gravitação universal, proposta por Isaac Newton, tem a seguinte expressão matemática:

clip_image004

onde

F12 é a força, sentida pelo corpo 1 devido ao corpo 2, medida em newtons;

G é constante gravitacional universal, que determina a intensidade da força, clip_image005;

m 1 e m2 são as massas dos corpos que se atraem entre si, medidas em quilogramas; e

r é a distância entre os dois corpos, medida em metros;

clip_image006 o versor do vetor que liga o corpo 1 ao corpo 2.

A constante gravitacional universal foi medida anos mais tarde por Henry Cavendish. A descoberta da lei da gravitação universal se deu em 1685 como resultado de uma série de estudos e trabalhos iniciados muito antes. Em 1679, Robert Hooke comunicou-se, por meio de cartas com Newton e os assuntos eram sempre científicos.

clip_image007

A obra Principia, de Newton.

Em verdade, foi exatamente em 1684 que Newton informou a seu amigo Edmond Halley de que havia resolvido o problema da força inversamente proporcional ao quadrado da distância. Newton relatou esses cálculos no tratado De Motu e os desenvolveu de forma ampliada no livro Philosophiae naturalis principia mathematica. A gravitação universal é muito mais do que uma força relacionada ao Sol. É também um efeito dos planetas sobre o Sol e sobre todos os objetos do universo. Newton explicou facilmente a partir de sua Terceira Lei da Dinâmicaque, se um objeto atrai um segundo objeto, este segundo também pode atrair o primeiro com a mesma força. Concluiu-se que o movimento dos corpos celestes não podiam ser regulares. Para o célebre cientista, que era bastante religioso, a estabilidade das órbitas dos planetas implicava reajustes contínuos sobre suas trajetórias impostas pelo poder divino.

A queda da maçã e a dúvida de Newton

clip_image008

Macieira, plantada no Jardim Botânico deCambridge em homenagem a Newton.

A história mais popular é a da maçã de Newton. Se por um lado essa história seja mito, o fato é que dela surgiu uma grande oportunidade para se investigar mais sobre a Gravitação Universal. Essa história envolve muito humor e reflexão. Muitas charges sugerem que a maçã bateu realmente na cabeça de Newton, quando este se encontrava num jardim, sentado por baixo de uma macieira, e que seu impacto fez com que, de algum modo, ele ficasse ciente da força da gravidade. A pergunta não era se a gravidade existia, mas se ela se estenderia tão longe da Terra que poderia também ser a força que prende a Lua à sua órbita. Newton mostrou que, se a força diminuísse com o quadrado inverso da distância, poderia então calcular corretamente o período orbital da Lua. Ele supôs ainda que a mesma força seria responsável pelo movimento orbital de outros corpos, criando assim o conceito de "gravitação universal". O escritor contemporâneo William Stukeley e o poeta Voltaire foram duas personalidades que citaram a tal maçã de Newton em alguns de seus textos.

As três Leis de Newton

clip_image009

A primeira lei e a segunda lei de Newton, escritas emlatim, na edição original, de1687.

A Gravitação universal é uma força fundamental de atração que age entre todos os objetos por causa de suas massas, isto é, a quantidade de matéria de que são constituídos. A gravitação mantém o universo unido. Por exemplo, ela mantém juntos os gases quentes no sol e faz os planetas permanecerem em suas órbitas. A gravidade da Lua causa as marés oceânicas na terra. Por causa da gravitação, os objetos sobre a terra são atraídos em sua direção. A atração física que um planeta exerce sobre os objetos próximos é denominada força da gravidade. A lei da gravitação universal foi formulada pelo físico inglês Sir Isaac Newton em sua obra Philosophiae Naturalis Principia Mathematica, publicada em 1687, que descreve a lei da gravitação universal e as Leis de Newton — as três leis dos corpos em movimento que assentaram-se como fundamento da mecânica clássica.

 

História

Ainda que os efeitos da gravidade sejam fáceis de notar, a busca de uma explicação para a força gravitacional tem embaraçado o homem durante séculos. O filósofo grego Aristóteles empreendeu uma das primeiras tentativas de explicar como e por que os objetos caem em direção à Terra. Entre suas conclusões, estava a ideia de que os objetos pesados caem mais rápido que os leves. Embora alguns tenham se oposto a essa concepção, ela foi comumente aceita até o fim do século XVII, quando as descobertas do cientista italiano Galileu Galileiganharam aceitação. De acordo com Galileu, todos os objetos caíam com a mesma aceleração, a menos que a resistência do ar ou alguma outra força os freasse.

Os antigos astrônomos gregos estudaram os movimentos dos planetas e da Lua. Entretanto, o paradigma aceito hoje foi determinado porIsaac Newton, físico e matemático inglês, baseado em estudos e descobertas feitas pelos físicos que até então trilhavam o caminho da gravitação. Como Newton mesmo disse, ele chegou a suas conclusões porque estava "apoiado em ombros de gigantes". No início doséculo XVII, Newton baseou sua explicação em cuidadosas observações dos movimentos planetários, feitas por Tycho Brahe e porJohannes Kepler. Newton estudou o mecanismo que fazia com que a Lua girasse em torno da Terra. Estudando os princípios elaborados por Galileu Galilei e por Johannes Kepler, conseguiu elaborar uma teoria que dizia que todos os corpos que possuíam massa sofreriam atração entre si.

A partir das leis de Kepler, Newton mostrou que tipos de forças devem ser necessárias para manter os planetas em suas órbitas. Ele calculou como a força deveria ser na superfície da Terra. Essa força provou ser a mesma que da à massa sua aceleração.

Diz uma lenda que, quando tinha 23 anos, Newton viu uma maçã cair de uma árvore e compreendeu que a mesma força que a fazia cair mantinha a Lua em sua órbita em torno da Terra.

 

Formulação da Lei da Gravitação Universal

 

clip_image001Dois corpos puntiformes m1 e m2 atraem-se exercendo entre si forças de mesma intensidade F1 eF2, proporcionais ao produto das duas massas e inversamente proporcionais ao quadrado da distância (r) entre elas. G é a constante gravitacional.

A lei da gravitação universal diz que dois objetos quaisquer se atraem gravitacionalmente por meio de uma força que depende das massas desses objetos e da distância que há entre eles.

Dados dois corpos de massa m1 e m2, a uma distância r entre si, esses dois corpos se atraem mutuamente com uma força que é proporcional à massa de cada um deles e inversamente proporcional ao quadrado da distância que separa esses corpos. Matematicamente, essa lei pode ser escrita assim:

clip_image003

onde

F1 (F2) é a força, sentida pelo corpo 1 (2) devido ao corpo 2 (1), medida em newtons;

clip_image004[4] é constante gravitacional universal, que determina a intensidade da força,

m 1 e m2 são as massas dos corpos que se atraem entre si, medidas em quilogramas; e

r é a distância entre os dois corpos, medida em metros;

o versor do vetor que liga o corpo 1 ao corpo 2.

A constante gravitacional universal foi medida anos mais tarde por Henry Cavendish. A descoberta da lei da gravitação universal se deu em 1685 como resultado de uma série de estudos e trabalhos iniciados muito antes.

Tomando como exemplo a massa de próton e um elétron, a força da gravidade será de 3,6 × 10−8 N (Newtons) ou 36 nN.

O estabelecimento de uma lei de gravitação, que unifica todos os fenômenos terrestres e celestes de atração entre os corpos, teve enorme importância para a evolução da ciência moderna.

§ Lex I: Corpus omne perseverare in statu suo quiescendi vel movendi uniformiter in directum, nisi quatenus a viribus impressis cogitur statum illum mutare.

(Todo corpo continua em seu estado de repouso ou de movimento uniforme em uma linha reta, a menos que seja forçado a mudar aquele estado por forças imprimidas sobre ele.)

§ Lex II: Mutationem motis proportionalem esse vi motrici impressae, etfieri secundum lineam rectam qua vis illa imprimitur.

(A mudança de movimento é proporcional à força motora imprimida, e é produzida na direção da linha reta na qual aquela força é imprimida.)

§ Lex III: Actioni contrariam semper et aequalem esse reactionem: sine corporum duorum actiones in se mutuo semper esse aequales et in partes contrarias dirigi. (A toda ação há sempre oposta uma reação igual, ou, as ações mútuas de dois corpos um sobre o outro são sempre iguais e dirigidas a partes opostas.)

Alquimia

O seu primeiro contato com caminhos da alquimia foi através de Isaac Barrow e Henry More, intelectuais de Cambridge. Por volta de 1693, escreveu Praxis, uma obra que sugere uma filosofia que via na natureza algo diferente do que admitiam as filosofias mecanicistas ortodoxas. Newton dedicou muitos de seus esforços aos estudos da alquimia. Escreveu muito sobre esse tema, fato que soube-se muito tarde, já que a alquimia era totalmente ilegal naquela época.

 

Visão religiosa

clip_image010

"Newton," retratado porWilliam Blake como um grande geometer divino.

O formulador da Lei da gravitação universal teve uma aproximação com um clérigo, o seu próprio padrasto Barnabas Smith, que possuía bacharelado em Oxford. Newton possuía uma extensa biblioteca de teologia e filosofia a seu dispor, incluindo desde estudos de línguas até todos os tipos de literatura clássica e bíblica, o que pode ter vitalizado seu espírito para inspiradoras abstrações. Adquirindo uma grande fama como cientista, Newton foi influenciado pela política e acabou não se ordenando clérigo, mas permaneceu fiel à sua crença no Universo, embora tenha comportado-se como um bom cristão anglicano, atendendo serviços na capela do Trinity Colege e, mais tarde, em Londres.[8] Iniciou uma série de correspondências com o filósofo John Locke.

Entre suas obras teológicas, destacam-se An Historical Account of Two Notable Corruption of Scriptures, Chronology of Ancient Kingdoms Atendede Observations upon the Prophecies. Algumas das coisas em que ele acreditava eram o tempo, sempre igual para todos os instantes, e os seis mil anos de existência que a Bíblia dá à Terra. Considerava que a mecânica celeste era governada pela gravitação universal e, principalmente, por Deus, sobre o qual relata: "A maravilhosa disposição e harmonia do universo só pode ter tido origem segundo o plano de um Ser que tudo sabe e tudo pode. Isto fica sendo a minha última e mais elevada descoberta." [9]

Pontos de vista do fim do mundo

clip_image011

Estátua de Newton no Trinity College.

Em um manuscrito que ele escreveu em 1704 no qual ele descreve sua tentativa de extrair informações científicas a partir da Bíblia, ele estima que o mundo não iria terminar antes de 2060.[8]

Em 2007, a Biblioteca Nacional de Israel divulgou três manuscritos atribuídos a Isaac Newton nos quais ele calcula a data aproximada doapocalipse, relacionando profecias com história política e religiosa europeia daquela época. Em um dos manuscritos (datado do início doséculo XVIII), Newton, por meio de análise dos textos bíblicos do Livro de Daniel (do antigo testamento), conclui que o mundo deveria acabar por volta do ano de 2060, ao escrever "Ele pode acabar além desta data, mas não há razão para acabar antes". Em outra análise, o cientista interpreta as profecias bíblicas sobre o retorno dos judeus à terra prometida antes do apocalipse. "A ruína das nações más, o fim do choro e de todos os problemas, e o retorno dos judeus ao seu próspero reino", escreveu.[10][11]

Em Escatologia, Sir Isaac Newton investiga uma parte da teologia e da filosofia preocupado com o que se acredita ser o apocalipse (último acontecimento na história do mundo, ou o derradeiro destino da humanidade) vulgarmente designado o fim do mundo.

Newton escreveu muitas obras que passariam a ser classificadas como estudos ocultos. Estas obras exploraram o ocultismo, a cronologia, alquimia e escritos bíblicos, propondo-lhes interpretações especialmente do Apocalipse.[12]

O Movimento Rosa Cruz

A sociedade secreta dos Rosa Cruz,[13] foi possivelmente a que maior influência exerceu sobre Newton. Apesar de o movimento Rosa Cruz ter causado uma grande curiosidade entre os acadêmicos europeus durante o século XVII, à época de Newton já havia atingido a maturidade e se tornara algo menos sensacionalista. O movimento teve uma profunda influência sobre Newton, particularmente nas pesquisas sobre alquimia e filosofia.

A crença Rosa Cruz de serem especialmente escolhidos para comunicarem-se com os anjos ou espíritos ecoa nas crenças proféticas de Newton. Os rosa Cruz proclamavam também ter a habilidade de viver para sempre usando o elixir vitae e a habilidade de produzir um sem limite de quantidade de ouro a partir do uso da Pedra Filosofal, a qual diziam possuir. Tal como Newton, os Rosa Cruz foram profundamente filósofos místicos, declaradamente cristãos e altamente politizados. Newton teve muito interesse nas pesquisas sobre alquimia, mas também nos ensinamentos esotéricos antigos e na crença em indivíduos iluminados com a habilidade de conhecer a natureza, o universo e o reino espiritual.[13]

Ao morrer, a Biblioteca de Newton apresentava 169 livros sobre o tópico da alquimia, e acreditava-se que teria consideravelmente mais livros durante os anos de formação emCambridge, embora possivelmente os tenha vendido antes de mudar-se para Londres em 1696.[13]

 

Os últimos anos de vida

clip_image012

Sepultura de Newton naabadia de Westminster.

Newton foi respeitado como nenhum outro cientista e sua obra marcou efetivamente uma revolução científica.

Seus estudos foram como chaves que abriram portas para diversas áreas do conhecimento cujo acesso era impossível antes de Newton.

Newton, em seus últimos dias, passou por diversos problemas renais que culminaram com sua morte. No lado mais pessoal, muitos biógrafos afirmam que ele havia morrido virgem.[14]

Na noite de 20 de março de 1727 (Calendário juliano) faleceu. Foi enterrado junto a outros célebres homens da Inglaterra na Abadia de Westminster.

Seu epitáfio foi escrito pelo poeta Alexander Pope:

clip_image013

A natureza e as leis da natureza estavam imersas em trevas; Deus disse "Haja Newton" e tudo se iluminou.[15]

clip_image014

— '

A causa provável de sua morte foram complicações relacionadas ao cálculo renal que o afligiu em seus últimos anos de vida.[16]

 

Obras publicadas

§ Method of Fluxions (1671);

§ Philosophiae naturalis principia mathematica (1687);

§ Opticks (1704);

§ Arithmetica Universalis (1707);

§ The Chronology of Ancient Kingdoms Amended (1728).

Também escreveu sobre os ramos da química, da alquimia, da cronologia e da teologia. Também sobre escoamento em canais, velocidade de ondas superficiais e o deslocamento do som no ar.

 

Notas

1. ↑ Enquanto Newton esteve vivo, dois calendários eram utilizados na Europa: o juliano na Grã-Bretanha e partes do norte e leste da Europa, e o gregoriano, utilizado pela Europa Católica Romana (instituído em 1582 mas adotado na Inglaterra só após 1752). No nascimento de Newton, as datas no calendário gregoriano eram dez dias adiantados do juliano; assim, Newton nasceu no dia de Natal, 25 de dezembro de 1642 no calendário juliano, mas no dia 4 de janeiro de 1643 no gregoriano. Já na época de sua morte, a diferença entre dias entre seus calendários passou para onze dias. Alguns autores consideram que Newton nasceu em 25 de dezembro para coincidir com a data da morte de Galileu e seus admiradores por considerarem que ele foi um presente de Natal para a humanidade.

 

Referências

1. ↑ Isaac Newton (1643 - 1727) (em inglês). BBC Historic Figures.

2. ↑ Newton beats Einstein in polls of scientists and the public (em inglês). The Royal Society.

3. ↑ Cohen, I.B. (1970). Dictionary of Scientific Biography, Vol. 11, p.43. New York: Charles Scribner's Sons

4. ↑ Infidels, Freethinkers, Humanists, and Unbelievers - Newton, Sir Isaac (1642-1727) (em inglês). The Infidels.

5. ↑ Westfall 1994, pp 16-19

6. ↑ Isaac Newton, os primeiros passo na escola. UNICAMP.

7. ↑ Evolução dos conceitos da Física. Instituto de Física da Universidade de São Paulo.

8. ↑ a b Papers Show Isaac Newton's Religious Side, Predict Date of Apocalypse (em inglês). The Associated Press (19 June 2007). Página visitada em 1 de agosto de 2007.

9. ↑ NEWTON, Isaac. Principia, Book III . Newton’s Philosophy of Nature: Selections from his writings. Nova Iorque: H.S. Thayer, Hafner Library of Classics: 1953, (em inglês).

10. ↑ Manuscrito de Isaac Newton traria data do apocalipse. Terra.com - Notícias (18/06/2007).

11. ↑ A time and times and the dividing of time: Isaac Newton, the Apocalypse and 2060 A.D.. isaac-newton.org.

12. ↑ Nova: Newton's Dark Secrets (em inglês).

13. ↑ a b c White, Michael (1999), Isaac Newton: The Last Sorcerer, Da Capo Press, p. 117, ISBN 0-7382-0143-X, http://books.google.com/books?id=l2C3NV38tM0C

14. ↑ Assim na terra como no céu. TV Globo, Programa Fantástico. "Criado pela avó, Newton cresceu evitando contato com outras pessoas, fossem homens ou mulheres. Ele jamais se casou, e muitos biógrafos afirmam que Newton morreu virgem."

15. ↑ Nature and nature's laws lay hid in night; God said 'Let Newton be' and all was light

16. ↑ OSTAD, Edward; WISE, Gilbert J. Celestial bodies and urinary stones: Isaac Newton (1641–1727) – health and urological problems. BJU International 95 (1): 24–26.

 

Bibliografia

§ CHRISTIANSON, Gale E. In the Presence of the Creator: Isaac Newton and His Times. Nova Iorque: Collier MacMillan, 1984. 608 p.

§ DAMPIER, William C. e DAMPIER, M. Readings in the Literature of Science. Nova Iorque: Harper & Row, New York, 1959.

§ FONTAINE, Joëlle e SIMAAN, Arkan. A Imagem do Mundo dos Babilônios a Newton. São Paulo: Companhia das Letras, 2003.

§ GJERTSEN, Derek. The Newton Handbook. Nova Iorque: Routledge & Kegan Paul, 1986.

§ GLEICK, James. Isaac Newton, uma biografia. São Paulo: Companhia das Letras, 2004.

§ NEWTON, Isaac.Óptica. São Paulo: EDUSP, 2002.

§ WESTFALL, Richard S: A vida de Isaac Newton. Rio de Janeiro: Nova Fronteira, 1995.

Nenhum comentário: